Komposisi Pasta Gigi yang Mengandung Nanopartikel Kitosan Ekstrak Etanol Rimpang Temukunci (Boesenbergia Rotunda)
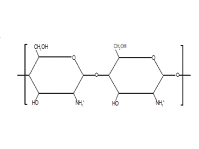
Invensi ini berkaitan dengan suatu komposisi pasta gigi yang mengandung nanopartikel kitosan ekstrak etanol rimpang temukunci (B. rotunda) dan surfaktan kokamidopropil betain. Pembuatan komposisi pasta gigi yang mengandung nanopartikel kitosan ekstrak etanol rimpang temukunci (B. rotunda) dan surfaktan kokamidopropil betain diawali dengan pengujian preformulasi sediaan pasta gigi untuk selanjutnya diuji secara fisik dan kimia. Komposisi pasta gigi yang mengandung nanopartikel kitosan ekstrak etanol rimpang temukunci (B. rotunda) dan surfaktan kokamidopropil betain terdiri dari bahan aktif nanopartikel kitosan ekstrak etanol temukunci, natrium karboksimetil selulosa, kalsium karbonat, gilerin, kokamidopropil betain, natrium siklamat, minyak permen, metal paraben, akuades. Produk pasta gigi yang mengandung nanop artikel kitosan ekstrak etanol rimpang temukunci (B. rotunda) dan surfaktan kokamidopropil betain memiliki aktivitas antibakteri terhadap bakteri Streptococcus mutans yang merupakan bakteri penyebab karies gigi.
